Акция!
Привлеките до 750 лояльных клиентов уже на первом запуске
Подключите CDP Calltouch и получите пакет СМС по базе в подарок
*CDP — (Customer Data Platform) платформа клиентских данных
Реклама: ООО «Колтач Солюшнс»
ИНН 7703388936
erid: 2Vtzqvdokrj
Paid Search Data Driven Approach 2020: Недвижимость Разбираем ключевые показатели для индустрии недвижимости и рассказываем, как вести рекламные кампании так, чтобы оставаться конкурентоспособным Paid Search Data Driven Approach 2020: Недвижимость
Средняя оценка 4.6 Общее количество оценок 11
7 июня 2020
Нет времени читать?
Отправить статью на почту
Главная | Блог | Исследования | 2020 | Paid Search Data Driven Approach 2020: Недвижимость

Paid Search Data Driven Approach 2020: Недвижимость

7 июня 2020
24 мин на чтение
11 558
Paid Search Data Driven Approach 2020: Недвижимость

Главные отличия сферы недвижимости – долгий цикл покупки, высокая конкуренция, большие бюджеты на продвижение, низкая частота обращений и стоимость привлечения лида, достигающая десятков тысяч рублей. 

В начале мая E-Promo опубликовало исследование поисковой рекламы Paid Search Data Driven Approach 2020. Разбираем ключевые показатели для индустрии недвижимости и рассказываем, как вести рекламные кампании так, чтобы оставаться конкурентоспособным.

Calltouch
Привлекайте, конвертируйте
и анализируйте ваших клиентов
Платформа омниканального маркетинга
Подробнее

Исходные данные

Мы проанализировали рекламные кампании на поиске Яндекс.Директа и Google Ads за 2019 год. Среди них рекламные кампании:

  • Девелоперов из Москвы, Санкт-Петербурга и других регионов России, которые специализируются на продаже жилой и коммерческой недвижимости разных классов на всех этапах строительства – от котлована до готовых квартир;
  • Девелоперов апартаментов в Москве;
  • Крупных арендодателей, специализирующихся на офисных площадях в формате коворкинга и private office.

В качестве целевых действий при анализе CPA мы выбрали целевые звонки – уникальные входящие звонки от потенциального клиента компании, прошедшие скоринг по качеству. Даже при использовании качественных сервисов коллтрекинга  возможны звонки по ошибке или от уже звонивших, желающих задать дополнительные вопросы. Мы ориентировались только на целевые звонки, чтобы показать реалистичную ситуацию на рынке недвижимости.

Применяемая модель атрибуции – последний непрямой клик, что обусловлено частотой использования и распространенностью подобной модели.

Поисковая реклама на разных этапах воронки продаж

Поисковую рекламу часто используют только внизу воронки, для работы с теплым спросом, и это не совсем оправданно. На схеме показано, что поисковая реклама работает на всех этапах, выполняя разные функции в зависимости от цели. Важно вести работу на каждом этапе, чтобы не потерять потенциального клиента при его переходе на следующую стадию продаж. 

Роль Paid Search на разных этапах коммуникации

Формируйте узнаваемость бренда и интереса к нему наверху воронки, отрабатывайте интерес на среднем уровне и помогите пользователю выбрать ваше предложение на нижнем этапе. Для этого достаточно правильно выбрать таргетинги и проработать УТП – тогда вы сможете грамотно выстроить коммуникацию с пользователем. 

Как работать с УТП

В условиях высокой конкуренции на поиске рекламодателю важно уделять больше внимания используемым УТП при коммуникации с потребителем, чтобы грамотно отстраиваться от конкурентов и выделяться на их фоне. На каждом этапе воронки продаж пользователя интересуют разные аспекты, которые важно транслировать в текстах объявлений, чтобы привлечь покупателя и «подогреть» спрос.

Мы проанализировали поисковую выдачу на примере топ-5 застройщиков (более 20 тыс. объявлений), разделили запросы на разные типы и выделили наиболее популярные УТП. Что мы увидели:

  • Для общих и ГЕО запросов в текстах часто используется время до метро, указание расположения объекта. 
  • Для конкурентных запросов рекламодатели указывают информацию о типе отделки, цене и экологии.
  • Для брендовых запросов прописывается название застройщика, условия по ипотеке, скидки и акции.

Наиболее популярные УТП в сфере недвижимости. Данные агентства E-Promo.

Откуда приходят пользователи: доли по источникам

Сегодня на долю digital в недвижимости приходится от 50 до 80% рекламного бюджета в зависимости от размеров рекламодателя и особенностей рекламируемого объекта. Мы проанализировали в SimilarWeb данные по сайтам топ-5 застройщиков РФ и выяснили, что основной источник трафика – это поисковые системы (42%).

Роль поисковой рекламы 2020: источники трафика

Одна из особенностей отрасли недвижимости – это существенных перевес платного трафика (63%). Это связано с тем, что под каждый строящийся объект создается новый сайт: пока объект строится, он продается. Когда этап продажи полностью завершен, продвижение сайта прекращается. В подобных условиях акцент с органического продвижения смещается на платный трафик. SEO-продвижение практически невозможно: сайты недвижимости проигрывают высококонкурентным тематикам хотя бы потому, что история домена уступает агрегаторам и сайтам, существующим уже много лет.

Роль поисковой рекламы 2020: доли органического и платного трафика

Главные причины выбора платного поиска – измеримость и прозрачность результатов, высокая конверсия в звонок и множество настроек для сужения аудитории и поиска «своей» ЦА. Поисковая реклама наиболее релевантна: пользователь демонстрирует свое намерение купить продукт с помощью запросов в поисковой системе: например, «купить квартиру».

Как распределяются звонки и бюджеты по типам площадок

Рекламодателей всегда волнуют бюджеты: сколько необходимо тратить на рекламный канал, во сколько обходится обращение и продажа. Анализируя площадки контекстной рекламы, мы выяснили, что более 60% целевых звонков приносит Яндекс.Директ. Примерно такое же распределение и в расходах по площадкам. 

На рекламу в Яндекс.Директе тратится 57% средств, а на Google Ads – 43%. Так происходит, потому что большинство рекламодателей начинают свои размещения  с использования только Яндекс.Директа. Мы же рекомендуем размещаться на обеих рекламных площадках, чтобы максимально охватить аудиторию. При запуске вы можете придерживаться классического сплита бюджетов – 60% Яндекс и 40% Google, а в дальнейшем выбирать распределение  исходя из емкости спроса, выполнения KPI, наличия мобильной версии сайта и особенностей ЦА.

Доля звонков и бюджетов в сфере недвижимости

CTR по отрасли. Площадки и классы

CTR у разных классов жилья практически равный, потому что структура аккаунтов у всех рекламодателей схожа: общие запросы, конкурентные, брендовые. Из-за большей доли мобильных устройств в Google по сравнению с Яндексом CTR в Google выше.

Увеличение CTR снижает стоимость клика, а значит и стоимость CPA. Для повышения CTR рекомендуем:

  • Исключить нецелевую аудиторию: например, пользователей младше 18 лет;
  • Добавить максимальное количество расширений;
  • Анализировать среднюю позицию показа и показатель SOV.

CPC по отрасли. Площадки и классы

CPC в Google выше, чем в Яндексе, из-за особенностей алгоритма размещения рекламы:  площадка обращает больше внимания на релевантность объявлений и страниц, определяет качество конкурентных кампаний как низкое и опускает их рейтинг. CPC в Google Ads зависит от ставки рекламодателя, которая определяется на основе показателя качества – динамической переменной, присваиваемой каждому ключевому слову в аккаунте исходя из факторов релевантности. Чем выше показатель качества ключевого слова, тем ниже ставка за определенную позицию на любой странице результатов поиска.

Есть несколько проверенных методов для снижения CPC:

  • Прорабатывать поисковые запросы и регулярно добавлять новые минус-слова: частота обновления зависит от того, насколько тщательно были проработаны минус-слова при сборе семантики, насколько широкие слова выбраны в РК – чем более частотные фразы, тем чаще нужно смотреть отчет по поисковым фразам. Мы рекомендуем делать это не реже, чем раз в 2 недели.
  • Повышать качество объявлений, используя релевантные заголовки, и снижать ставки на неэффективные с точки зрения CR и CPA ключевые фразы.
  • Использовать биддеры для эффективного управления ставками. Возможность задать алгоритм назначения ставок исходя из ваших KPI и быстро реагировать на изменения позволяют автоматизировать работу специалиста.

CR по отрасли. Площадки и классы

По данным внутренней аналитики E-Promo, в экономклассе период принятия решения о звонке короче, чем в других классах жилья, и это влияет на CR. На графике видно, что коэффициент конверсии в Google уступает показателю Яндекса, потому что пользователи Google чаще переходят с мобильных устройств. Ниже мы расскажем, почему конверсия с mobile в недвижимости ниже, чем с десктопа. 

Если вы стремитесь увеличить CR c поисковых рекламных кампаний, обратите внимание на:

  • RLSA. Согласно данным Google, выбор квартиры перед покупкой в среднем занимает 3,2 месяца, поэтому смело применяйте ремаркетинг для постоянной работы с пользователями, которые уже посетили сайт.
  • Таймер обратного отсчета в Google Ads. Функция позволяет добавить счетчик дней до окончания акции прямо в объявлении.
  • Корректировки ставок в зависимости от выполнения пользователем микроконверсий:  например, «переход на страницу карточки квартиры» или «время на сайте более 10 мин».

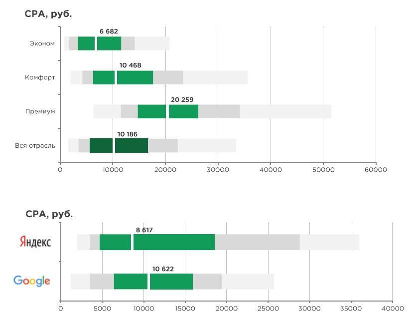
CPA по отрасли. Площадки и классы

В премиум-объектах цена уникального звонка самая высокая, так как в этом сегменте наблюдается большой разброс в значениях CPC. Стоимость лотов/квартир в этом классе может различаться в десятки раз, что сказывается на итоговом CPA. Проанализировав данные, мы выяснили, что CPA пропорционален стоимости и прибыли от продаж среднего объекта в классе: чем дороже объект, тем выше CPA. 

Для оптимизации СРА рекомендуем добавлять в объявления гео, чтобы отсекать не “вашу” аудиторию и исключать нецелевые классы недвижимости из семантического ядра.

Об устройствах

Рост мобильной аудитории – одна из главных современных тенденций. Даже в консервативной сфере недвижимости мобильность аудитории неумолимо растет и составляет сейчас более 60%. Целевые звонки c мобильных в Яндексе и Google обходится рекламодателям дороже, чем с десктопов. Это связано с тем, что сайты не всегда адаптированы под мобильные устройства: часть функционала может быть неудобна или вовсе не работать, а подобное всегда приводит к худшей конверсии. Наш опыт показывает, что в сфере недвижимости пользователи чаще переходят на сайт с мобильного, когда потребность в покупке еще не сформирована: реклама или другие факторы заинтересовали пользователя и мотивировали его зайти на сайт. Затем следует длительный процесс изучения предложения и принятия решения об обращении. В итоге конверсия с десктопа оказывается выше мобайла.

При работе с мобильным трафиком необходимо:

  • Анализировать мобильный трафик отдельно от десктопов и разделять конверсионные РК по типу устройств.
  • Использовать корректировки по мобильным устройствам для гибкого управления ставками.
  • Регулярно проверять работоспособность сайта на мобильных устройствах.

Показатели по ГЕО

По данным Яндекса, 22% запросов по недвижимости приходит из Москвы – спрос здесь выше, чем в других регионах. Аукцион на поиске в столице перегрет: торгуются множество застройщиков, агентства и порталы недвижимости, поэтому средняя стоимость клика может быть выше, чем регионах, в несколько раз. Что делать, чтобы оставаться конкурентоспособным в таких условиях:

  • Сделать упор на брендовые рекламные кампании, чтобы не дать конкурентам перехватить «свою» аудиторию на поиске. Самые лояльные пользователи уже знакомы с брендом и вводят запросы с указанием его названия, а это самые дешевые целевые заявки.
  • Внедрить повышающие корректировки на районы вокруг объекта. По нашему опыту, пользователи, проживающие в районе новостройки, охотнее покупают жилье в новом доме, чем потенциальные покупатели из других районов, потому что они уже привыкли к району/ живут рядом с родственниками/работают неподалеку/ водят детей в школу через дорогу. 
  • Запустить адаптивные поисковые объявления, так как они более релевантны из-за увеличенного объема текста по сравнению с обычными объявлениями. Вы вводите заголовки и описания, а Google показывает их в различных комбинациях и выбирает наиболее эффективные. В результате реклама точнее соответствует поисковым запросам пользователей и становится эффективнее. 

Указать в объявлении стадию строительства объекта или класс, чтобы привлекать только целевых пользователей.
Мы посчитали среднюю стоимость целевого звонка и CR по классам в различных гео. Премиум в Москве – наиболее дорогой класс недвижимости с точки зрения CPA. 

Чтобы не терять драгоценные звонки, необходимо:

  • Использовать аудиторные корректировки: например на тех, кто состоит в браке.
  • Использовать бренд застройщика в объявлениях. По данным Google, каждый пятый покупатель определил бренд застройщика как один из ключевых критериев выбора.
  • Проводить А/В тесты посадочных страниц, так как CR напрямую зависит от удобства и наполнения landing page.
  • Анализировать появление конкурентов и реагировать на их УТП. 
  • Использовать более широкие запросы в регионах из-за меньшего разброса цен и классов недвижимости.

Как вести РК так, чтобы оставаться конкурентоспособным?

Выбирать в Performance-кампаниях основными KPI целевые звонки и заявки, прошедшие скорринг

Тогда оптимизация кампаний может идти по горячим целевым обращениям, что наиболее выгодно в текущей экономической ситуации. 

При ограниченном бюджете или когда отслеживания целевых обращений недостаточно, для оптимизации кампаний выделяйте микроконверсии, изучив отчеты в счетчиках аналитики.

Выстраивать УТП исходя из длительности цикла продажи

Выбор недвижимости – длительный процесс, и важно не терять коммуникацию с потенциальным клиентом на протяжении его поисков. Рекомендуем раз в месяц проводить мониторинг популярных УТП конкурентов. 

Увеличивать узнаваемость бренда

Выстраивать коммуникацию с пользователем необходимо еще до начала его поисков недвижимости: когда пользователь принял решение о покупке квартиры в ближайшее время, он уже знает, каким брендам доверяет. Используйте имиджевые и охватные инструменты, такие как МСЯ, МКБ, РСЯ и КМС, чтобы познакомить покупателя с брендом заранее.

Настроить онлайн-бронирование и транслировать его в объявлениях

Онлайн-просмотр квартир, планировок, вида из окон, функция отслеживания процесса строительства объекта, онлайн-бронирование квартир заинтересуют потенциального покупателя и увеличат его доверие к бренду, так как создадут ощущение полной прозрачности в его отношениях с клиентами, а рекламодатель получит целевой звонок или заявку. Сейчас, когда офисы продаж закрыты, важно использовать в текущих объявления «Забронируйте квартиру на сайте и получите скидку», «Бронирование онлайн». 

Учитывать особенности при работе с ГЕО

  • По нашему опыту, для кампаний в Москве и области важно отслеживать количество выкупаемого трафика и рентабельности инвестиций в рекламу. Аукцион в этом регионе сильно перегрет и требует особенного внимания к используемым УТП и ключевым словам: указывайте район расположения объекта, осторожно используйте широкие ключевые слова, чтобы снизить процент показов объявления нецелевой аудитории. 
  • При запуске ремаркетинга выбирайте геотаргетинг на всю Россию, так как пользователь может искать квартиру, находясь в другом городе: например, подбирая себе жилье для переезда или инвестируя в недвижимость в столице.
  • Охватывайте пользователей, которые уже проживают рядом с рекламируемым объектом.

Использовать данные CRM для расширения аудитории

  • Вносите корректировки в кампании на тех, кто уже интересовался объектами, но так и не дошел до финального выполнения сделки. 
  • Исключайте из основных кампаний пользователей, которые совершают переходы по брендовой рекламе после покупки квартиры для отслеживания процесса стройки, чтобы исключить нецелевое расходование бюджета.
  • Используйте CRM-базы с данными о клиентах, совершивших покупку, для создания look-alike аудиторий в качестве одного из сегментов таргетирования и корректировок.
  • Не забывайте о текущих клиентах. Для этой аудитории можно предложить расширение жилья, так как при изменении семейного статуса или появлении ребенка пользователи могут прийти к мысли о покупке новой квартиры.

Правильно выбирать модель атрибуции

Рекламные кампании в сфере недвижимости, где решение о покупке клиент принимает на протяжении нескольких месяцев, рекомендуем не оценивать только по модели атрибуции last-click. Используйте линейную модель атрибуции, где равные доли конверсии относятся к каждому источнику, в том числе имиджевым и охватным инструментам. Эта же модель используйте для сайтов с отложенной конверсией, когда посетитель долго принимает решение о покупке и за время раздумий может несколько раз вернуться на сайт из любых источников трафика.

Работать с мобильным каналом

Потенциальные покупатели чаще ищут информацию с мобильных устройств в начале поиска недвижимости, поэтому сделайте мобильный сайт быстрым и продуманным, чтобы не терять трафик со смартфонов и планшетов. Отслеживайте конверсию и ее стоимость с различных типов устройств и применяйте корректировки ставок не реже, чем раз в месяц. Используйте мобильные объявления, делайте их с меньшим количеством символов и call to action.

Сквозная аналитика
Оценивайте эффективность всех рекламных кампаний в одном окне от клика до ROI
Вкладывайте в ту рекламу, которая приводит клиентов
Подробнее
Нет времени читать?

Оцените

Нажмите, чтобы проголосовать

Поделиться в соцсетях

Хотите стать автором?

Хотите
стать автором?

Календарь мероприятий
Подписывайтесь на дайджест Calltouch
Подписывайтесь
на дайджест Calltouch
и получите 13 чек-листов маркетолога
Нажимая на кнопку «Подписаться», вы даете свое согласие на обработку перосональных данных и получение рекламной информации о продуктах, услугах посредством звонков и рассылок по предоставленным каналам связи.
Рекомендуем прочитать
Хотите получить актуальную подборку кейсов?
Прямо сейчас бесплатно отправим подборку обучающих кейсов с прибылью от 14 730 до 536 900р.
[contact-form-7 404 "Not Found"]
У нас тут cookies…
На сайте используются файлы cookies. Продолжая использование сайта, вы соглашаетесь с этим. Подробности об обработке ваших данных — в политике использования файлов cookie.
Вставить формулу как
Блок
Строка
Дополнительные настройки
Цвет формулы
Цвет текста
#333333
Используйте LaTeX для набора формулы
Предпросмотр
\({}\)
Формула не набрана
Вставить